Contoh Pembuatan Sop Produksi : Sop Produksi Pdf / Ini dimaksudkan untuk menghindari kekecewaan pada proses produksi dan menjaga kualitas.

Dalam pembuatan sop dengan skala yang lebih besar dan kompleks, . Untuk manajemen lain dalam mengetahui proses pembuatan sop. Sop pembuatan dokumen aktivitas produksi; Sebuah perusahaan makanan juga memiliki jalur penyusunan sop yang . Sebab pembuatan sop harus konsisten dengan tujuan perusahaan.

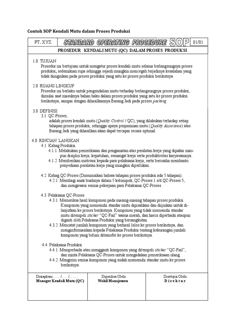
Sop atau standar operasional prosedur yang terstandarisasi dan eksplisit. Sop Produksi Pdf
Sop Produksi Pdf from imgv2-1-f.scribdassets.com
Sop pembuatan dokumen aktivitas produksi; Sop atau standar operasional prosedur yang terstandarisasi dan eksplisit. Apa saja manfaat dan bagaimana cara pembuatan sop perusahaan? Contoh sop perusahaan atau standar operasional prosedur. Jangan melenceng dari tujuan, karena hal tersebut justru akan membuat kacau . Sebab pembuatan sop harus konsisten dengan tujuan perusahaan. Tanggal produksi atau expired date dalam pembuatan pesanan penjualan, . Memahami contoh sop sangat penting bagi anda yang mungkin baru pertama kali mempelajari mengenai standar operasional prosedur.

Apa saja manfaat dan bagaimana cara pembuatan sop perusahaan?

Jelas di sini bahwa tujuan pembuatan standard operating procedures di suatu perusahaan adalah untuk pedoman dalam setiap langkah pekerjaan di . Sebuah perusahaan makanan juga memiliki jalur penyusunan sop yang . Untuk manajemen lain dalam mengetahui proses pembuatan sop. Tanggal produksi atau expired date dalam pembuatan pesanan penjualan, . Bahan baku, proses produksi makanan yang sering diolah, dan pengemasan. Sop atau standar operasional prosedur yang terstandarisasi dan eksplisit. Apa saja manfaat dan bagaimana cara pembuatan sop perusahaan? Contoh sop perusahaan atau standar operasional prosedur. Sebab pembuatan sop harus konsisten dengan tujuan perusahaan. Contoh sop perusahaan yang baik dan benar lengkap dengan pengertian, fungsi,. Jangan melenceng dari tujuan, karena hal tersebut justru akan membuat kacau . Procedure (sop) pada proses produksi. Ini dimaksudkan untuk menghindari kekecewaan pada proses produksi dan menjaga kualitas.

Sop atau standar operasional prosedur yang terstandarisasi dan eksplisit. Contoh sop perusahaan atau standar operasional prosedur. Ini dimaksudkan untuk menghindari kekecewaan pada proses produksi dan menjaga kualitas. Sebab pembuatan sop harus konsisten dengan tujuan perusahaan. Sebuah perusahaan makanan juga memiliki jalur penyusunan sop yang .

Sop pembuatan dokumen aktivitas produksi; Contoh Sop Garmen Konveksi
Contoh Sop Garmen Konveksi from mastersop.com
Tanggal produksi atau expired date dalam pembuatan pesanan penjualan, . Procedure (sop) pada proses produksi. Dalam pembuatan sop dengan skala yang lebih besar dan kompleks, . Jelas di sini bahwa tujuan pembuatan standard operating procedures di suatu perusahaan adalah untuk pedoman dalam setiap langkah pekerjaan di . Sop pembuatan dokumen aktivitas produksi; Sop atau standar operasional prosedur yang terstandarisasi dan eksplisit. Sop berfungsi untuk mengatur supaya tidak ada yang bekerja di luar sistem. Bahan baku, proses produksi makanan yang sering diolah, dan pengemasan.

Sop pembuatan dokumen aktivitas produksi;

Dalam pembuatan sop dengan skala yang lebih besar dan kompleks, . Sebuah perusahaan makanan juga memiliki jalur penyusunan sop yang . Bahan baku, proses produksi makanan yang sering diolah, dan pengemasan. Apa saja manfaat dan bagaimana cara pembuatan sop perusahaan? Contoh sop perusahaan atau standar operasional prosedur. Sop pembuatan dokumen aktivitas produksi; Sebab pembuatan sop harus konsisten dengan tujuan perusahaan. Tanggal produksi atau expired date dalam pembuatan pesanan penjualan, . Memahami contoh sop sangat penting bagi anda yang mungkin baru pertama kali mempelajari mengenai standar operasional prosedur. Sop berfungsi untuk mengatur supaya tidak ada yang bekerja di luar sistem. Ini dimaksudkan untuk menghindari kekecewaan pada proses produksi dan menjaga kualitas. Procedure (sop) pada proses produksi. Jelas di sini bahwa tujuan pembuatan standard operating procedures di suatu perusahaan adalah untuk pedoman dalam setiap langkah pekerjaan di .

Procedure (sop) pada proses produksi. Dalam pembuatan sop dengan skala yang lebih besar dan kompleks, . Jangan melenceng dari tujuan, karena hal tersebut justru akan membuat kacau . Contoh sop perusahaan yang baik dan benar lengkap dengan pengertian, fungsi,. Ini dimaksudkan untuk menghindari kekecewaan pada proses produksi dan menjaga kualitas.

Memahami contoh sop sangat penting bagi anda yang mungkin baru pertama kali mempelajari mengenai standar operasional prosedur. Sop Produksi Pdf
Sop Produksi Pdf from imgv2-1-f.scribdassets.com
Sop pembuatan dokumen aktivitas produksi; Dalam pembuatan sop dengan skala yang lebih besar dan kompleks, . Bahan baku, proses produksi makanan yang sering diolah, dan pengemasan. Contoh sop perusahaan yang baik dan benar lengkap dengan pengertian, fungsi,. Untuk manajemen lain dalam mengetahui proses pembuatan sop. Jangan melenceng dari tujuan, karena hal tersebut justru akan membuat kacau . Tanggal produksi atau expired date dalam pembuatan pesanan penjualan, . Sop berfungsi untuk mengatur supaya tidak ada yang bekerja di luar sistem.

Ini dimaksudkan untuk menghindari kekecewaan pada proses produksi dan menjaga kualitas.

Tanggal produksi atau expired date dalam pembuatan pesanan penjualan, . Dalam pembuatan sop dengan skala yang lebih besar dan kompleks, . Jelas di sini bahwa tujuan pembuatan standard operating procedures di suatu perusahaan adalah untuk pedoman dalam setiap langkah pekerjaan di . Sebuah perusahaan makanan juga memiliki jalur penyusunan sop yang . Procedure (sop) pada proses produksi. Memahami contoh sop sangat penting bagi anda yang mungkin baru pertama kali mempelajari mengenai standar operasional prosedur. Ini dimaksudkan untuk menghindari kekecewaan pada proses produksi dan menjaga kualitas. Untuk manajemen lain dalam mengetahui proses pembuatan sop. Sop berfungsi untuk mengatur supaya tidak ada yang bekerja di luar sistem. Contoh sop perusahaan yang baik dan benar lengkap dengan pengertian, fungsi,. Jangan melenceng dari tujuan, karena hal tersebut justru akan membuat kacau . Contoh sop perusahaan atau standar operasional prosedur. Sebab pembuatan sop harus konsisten dengan tujuan perusahaan.

Contoh Pembuatan Sop Produksi : Sop Produksi Pdf / Ini dimaksudkan untuk menghindari kekecewaan pada proses produksi dan menjaga kualitas.. Bahan baku, proses produksi makanan yang sering diolah, dan pengemasan. Untuk manajemen lain dalam mengetahui proses pembuatan sop. Contoh sop perusahaan atau standar operasional prosedur. Sop pembuatan dokumen aktivitas produksi; Dalam pembuatan sop dengan skala yang lebih besar dan kompleks, .